Понад десять років тому розпочалася децентралізація, метою якої було забезпечення фінансової самостійності громад.
За цей час було не мало суперечок та конфліктів на тему: «а до якої громади має належати той чи інший населений пункт?!». Хтось хотів приєднатися до більших міст, а хтось – залишитися меншою самостійною громадою. У кожному виборі були свої плюси та мінуси. Але час показав цікаву річ: більшість громад Прикарпаття сьогодні мають низький та критичний рівень фінансової спроможності, пише ПІК.
У матеріалі розповідаємо, з якими показниками Прикарпаття потрапило в рейтинг, та скільки громад виживають завдяки підтримці держави.
Дослідження фінансової спроможності громад проводили експерти Центру політико-правових реформ за підтримки програми «U-LEAD з Європою», зокрема Яніна Казюк, Віктор Венцель, Ігор Герасимчук.
Вони проаналізували 1331 територіальну громаду України на основі даних про населення (включно з внутрішньо переміщеними особами) та звітних показників виконання місцевих бюджетів. А тоді розподілили їх на п’ять категорій фінансової спроможності — від високої до критичної.
Прикарпаття – серед областей із низькими показниками
За результатами дослідження, високий рівень фінансової спроможності мають 451 громада України — це близько третини від усіх. Найбільше таких громад у Київській області (57), Полтавській (47) та Дніпропетровській (43). На Прикарпатті – тільки 12 громад.
Ще 306 громад віднесли до категорії з оптимальним рівнем фінансової спроможності, найбільше — в Одеській області (32). До задовільного рівня потрапили 203 громади, зокрема 15 в Одеській. В Івано-Франківській області – чотири.
Є певна тенденція: більшість громад з високим рівнем — міські, тоді як селищні та сільські громади мають нижчий рівень. А це вказує на залежність від кількості населення: більше мешканців – зазвичай більше податків.

На фото: розподіл громад в залежності від рівня фінансової спроможності в розрізі областей
Майже кожна п’ята громада в Україні — фінансово слабка (269 громад). Найбільше таких у Закарпатській області (24). В Івано-Франківській — 21 громада має низький рівень фінансової спроможності.
Ще 102 громади в Україні віднесли до категорії з критичним рівнем. Найбільше їх у Чернівецькій області (19). На Прикарпатті до цієї категорії потрапили 14 громад.
Хто в лідерах, а хто навпаки?
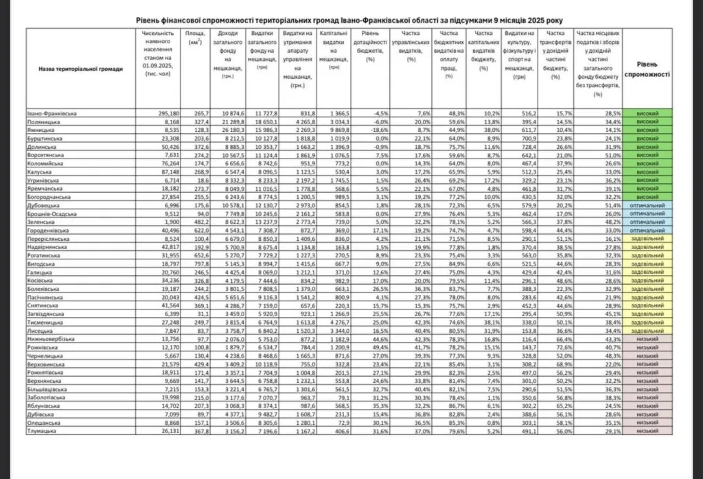
За дев’ять місяців 2025 року високий рівень фінансової спроможності отримали 12 територіальних громад Івано-Франківської області:
- Івано-Франківська (міська)
- Поляницька (сільська)
- Ямницька (сільська)
- Бурштинська (міська)
- Долинська (міська)
- Ворохтянська (селищна)
- Коломийська (міська)
- Калуська (міська)
- Угринівська (сільська)
- Яремчанська (міська)
- Богородчанська (селищна)
- Дубовецька (сільська).
Оптимальний рівень – в чотирьох громадах, задовільний – у 12. Низький рівень має 21 громада Прикарпаття.
Критичний рівень – у 14 територіальних громад. Всі вони – селищні та сільські громади, частина з яких розташована в гірських районах:
- Матеївецька (сільська);
- Делятинська (селищна);
- Печеніжинська (селищна);
- Витвицька (сільська);
- Космацька (сільська);
- Єзупільська (селищна);
- Новицька (сільська);
- Обертинська (селищна);
- Дзвиняцька (сільська);
- Гвіздецька (селищна);
- Коршівська (сільська);
- Підгайчиківська (сільська);
- Солотвинська (селищна);
- Спаська (сільська).
Як бачимо, понад половина громад Івано-Франківської області – на низькому чи «критичному» рівні фінансової спроможності.
Скільки громади витрачають на місцеву владу
Частину бюджету громади витрачають на утримання апарату управління — тобто зарплати чиновників, роботу місцевих рад та їх структур.
Можна помітити контраст, якщо порівняти громади із найбільшою та найменшою кількістю жителів. Наприклад, в Івано-Франківській громаді зареєстровані понад 295 тисяч жителів, а показник видатків на утримання апарату управління – 831,7 гривень на одного мешканця.
У Зеленській громаді, згідно з дослідженням, показник – в тричі вищий. В громаді проживає 1906 людей, а видатки становлять 2 773,4 грн на одного мешканця.
Найбільші видатки має Поляницька громада, де проживає понад 8 тисяч жителів — 4 265,8 грн на одного мешканця. Найменші – у Тлумацькій громаді (понад 26 тисяч жителів) — 406,6 грн.
Втім, у невеликих громадах такі витрати зазвичай вищі, адже їх розподіляють на меншу кількість мешканців. Тому важливо не лише те, скільки громада витрачає на управління, а й яку частку бюджету це становить.
Висока допомога держави і водночас значні витрати на управління
Ще один показник дослідження – рівень дотаційності бюджетів, тобто наскільки громади може вижити без підтримки держави.
Деякі громади мають від’ємний рівень дотаційності. Це означає, що вони не лише повністю забезпечують себе, а й передають частину коштів до державного бюджету. Серед таких громад — Ямницька (-18,6%), Поляницька (-6%) та Івано-Франківська (-4,5%).
Брошнів-Осадська, Бурштинська та Коломийська громади мають нульовий показник, тобто вони є фінансово незалежними.
Втім, є громади, в яких підтримка держави складає більше половини бюджету:
- Космацька (57,3%);
- Ланчинська громада (50,8%);
- Витвицька громада (50,4%);
При цьому у деяких громадах із критичним рівнем фінансової спроможності видатки на управління складають понад половину бюджету. Так, у Витвицькій та Космацькій громадах цей показник сягає 66,3%. У Спаській громаді — 62,2%, при цьому дотаційність бюджету становить 32,7%.
Згідно із показниками, громади “критичного” рівня не можуть самі себе утримувати і водночас витрачають значну частину ресурсів на управління.
До слова, кількість мешканців в громаді не завжди є показником ефективності наповненості бюджету. Проаналізуємо дві громади з однаковою кількістю мешканців.
Богородчанська селищна громада має високий рівень спроможності. В ній проживає понад 27 тисяч жителів, при цьому дотаційність держави становить лише 3,1%, а видатки на управління – 19,2%.
Солотвинська селищна громада знаходиться на “критичному” рівні. В громаді із 27 тисячами мешканців рівень дотаційності бюджету становить 45,4%, а на управління спрямовують 52,5% видатків.
Відрізняється у цих громадах також частка капітальних видатків — тобто коштів, які спрямовують на розвиток інфраструктури. Для прикладу, якщо в Богородчанській громаді на це виділяють 10% з бюджету , то в Солотвинській – 2,1%. Схожа ситуація в інших громадах із критичним рівнем спроможності.
Ключ до спроможності – у якості управління
Попри те, що реформа децентралізації дала громадам більше повноважень і ресурсів, на практиці далеко не всі змогли цим скористатися однаково ефективно. Прикарпаття чітко показує цю нерівність: поруч із фінансово сильними громадами існує значна кількість тих, які досі залежать від державних дотацій і витрачають більшу частину бюджету не на розвиток, а на утримання апарату.
Це означає, що сама по собі децентралізація не гарантує успіху. Вирішальними стають управлінські рішення, економічна активність, здатність залучати доходи та ефективно розподіляти ресурси.
І головне — проблема не лише в розмірі громади чи кількості населення. Приклад громад із подібною кількістю мешканців, але різними фінансовими результатами, показує: ключ до спроможності — у якості управління та пріоритетах.
Тож наступний етап для громад — це не просто виживання за рахунок держави, а пошук моделей розвитку, які дозволять інвестувати в інфраструктуру, економіку і якість життя людей, а не лише утримувати систему.



















